
Migraine is a debilitating disorder that affects around 12% of the population in Australia. The genetic research undertaken at the Genomics Research Centre aims to lessen the burden of migraine on sufferers, work-places and society in general. The Medibank presenteeism report in 2011 showed that migraine and headache made up 5% of lost work. If we can take more steps towards reducing that percentage, employees, employers, businesses and the overall economy would benefit from higher productivity and less absenteeism at work. It is with this aim and the goal to lessen the physical burden of pain that our researchers continue to study this common yet debilitating disorder.
We are currently undertaking studies aimed at identifying the genes involved in the disorder. Projects include the investigation of candidate genes and/or genomic regions implicated in migraine using association and linkage approaches. Other projects available will investigate gene expression differences using array and real-time PCR analyses. Both projects are aimed at developing a diagnostic test and new treatments for this common debilitating disorder.
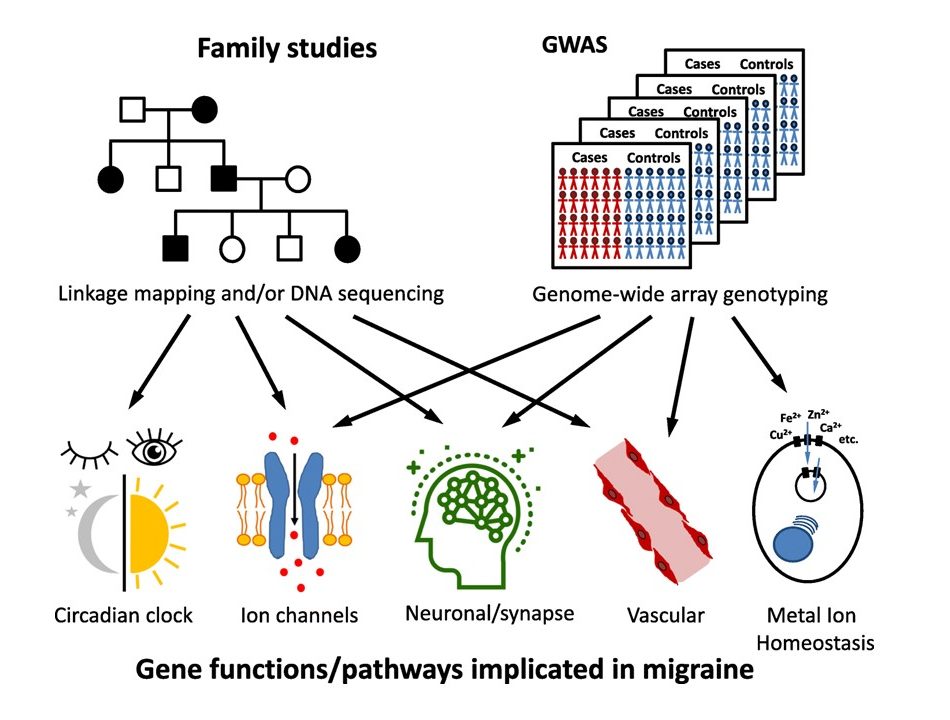
Since research into this disorder began there have been several marked improvements in the way we understand migraine. For example, we can now track the inheritance of this disorder in families and note that there are different types of migraine that are inherited in different ways. This has been possible due to the range of studies undertaken at QUT concerning migraine, which has included the Menstrual Migraine Project, the X-Chromosome and Migraine study, the Mitochondrial Genome Sequencing Project and the Familial Hemiplegic Migraine Diagnostic project. These topics have seen many advances either in the laboratory, in a medical sense, and/or in a way that benefits the public.

A specific example of this is the progress made on a certain severe type of migraine called FHM (Familial Hemiplegic Migraine). It is known that a mutation in a specific group of genes usually gives rise to this type of migraine. However, it can be very difficult and very expensive for doctors to know which gene has the mutation. In an effort to improve this, our researchers developed a method of diagnosing these conditions that is much more time and cost effective. Previously, a typical test for this condition would cost around $800 to look at 5 gene regions. Now, for the same amount of money, we can look at the complete sequence of all 130 gene regions that are applicable to this condition. This new method, made possible using the innovative technology of Next Generation Sequencing means that the impact of this research has very high public value, due to the improvements in time, cost and access.

Migraine research at the GRC expanded from doing laboratory research, to clinical diagnostic testing for other type of migraine and for other conditions too – the first in Australia to offer this type of service. The benefits of this see migraine sufferers having a more thorough understanding of their type of migraine and better understanding the specific treatment options applicable to their case. It is also beneficial for medical practitioners who previously had to source diagnosing from overseas or try slower and more expensive methods of diagnosis. Through diagnostic testing of certain types of disease, patients, doctors and scientists all reap the benefits of gaining further understanding of the way that a disease is effecting someone.
Apart from the medial impact of this research, there are also industry and economic benefits. QUT and industry partner Blackmores are now working together to create a novel combined vitamin treatment, a formula that comes directly from our research. The development of this treatment uses genetic and biomarker information from the migraine studies conducted at QUT which have translated into clinical trials in the Australian community and will now result in a preventative treatment for migraine sufferers. The partnership with Blackmores and the development of this treatment are key examples of the how the migraine research undertaken at QUT demonstrates the translational impact of this type of research from the lab to our community. With continued research and funding, more treatments will become available so that sufferers, their families, their workplaces and the community can feel less of the detrimental effects of migraine.
* gene pathways diagram image credit : Sutherland, H.G., Albury, C.L. & Griffiths, L.R. Advances in genetics of migraine. J Headache Pain 20, 72 (2019)